All math formulas in one place
⭐ 4.6 • 10K+
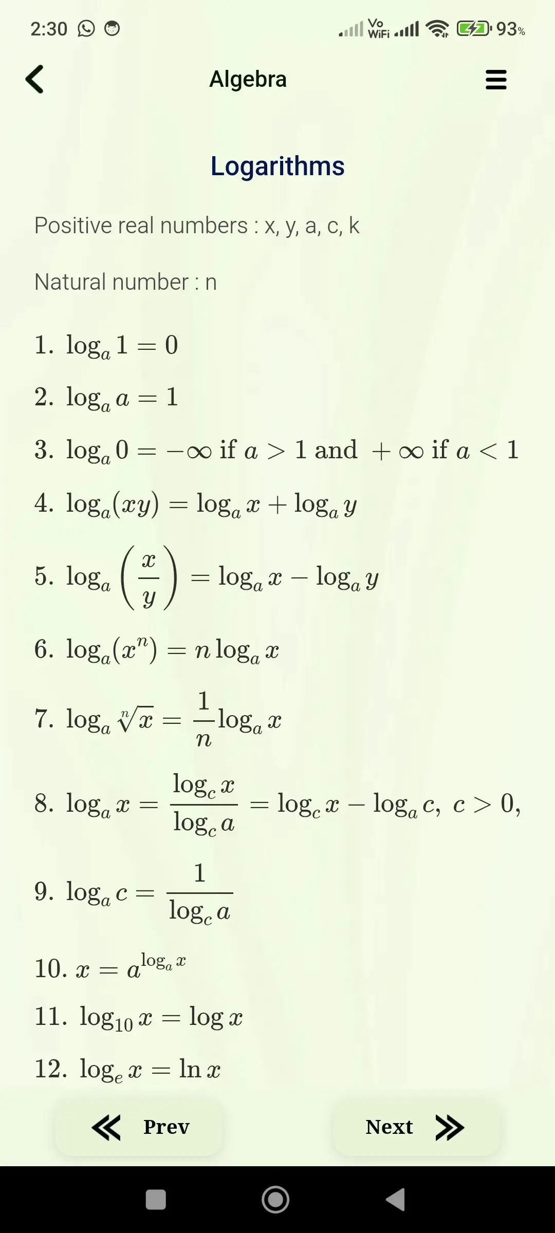
All Math Formulas is a comprehensive offline mathematics learning app that provides a complete collection of basic to advanced formulas. It helps students quickly access formulas without needing textbooks, covering topics from algebra and geometry to calculus and probability. The app is designed for school and college students, offering categorized formulas with diagrams for better understanding and quick revision.
Check out All Math Formulas app app screenshots below to explore features and user interface.
📱 App Overview
A complete and easy-to-use resume builder app that helps users create professional resumes quickly with structured sections, customizable templates, and multi-language support. It allows users to add detailed personal, educational, and work information, showcase skills and achievements, and generate high-quality resumes in PDF format. With features like preview, edit, multiple profiles, and instant sharing, the app provides a smooth and efficient experience for building and managing resumes for any job opportunity.
🌍 Multi-Language Support
To make the application accessible to a wider audience, it supports multiple languages including English, Arabic, French, Hindi, Indonesian, Portuguese (Portugal), Spanish, and Tamil. Users can easily switch to their preferred language and create resumes comfortably. This feature ensures that users from different regions can understand and use the app without difficulty.
🎨 Templates
The application provides a rich collection of professionally designed resume templates that help users create visually impressive and highly structured resumes. Users can choose modern templates for a stylish and professional look or normal templates for a simple and clean format. Each template is designed with proper alignment, spacing, and readability so that the resume looks attractive and easy to understand. This flexibility helps users present their information effectively based on their needs.
⚙️ Complete Resume Options
👤 Profile
The profile section allows users to enter all essential personal and contact details in a structured way. It includes information such as profile image, phone number, father’s name, job title, gender, email, place of birth, date of birth, address, marital status, religion, country, and website. This section helps create a strong and complete identity in the resume.
🏆 Awards
The awards section helps users highlight their achievements and recognitions. Users can add multiple awards along with details such as title, issuer name, date, and description. This improves the credibility of the resume and showcases accomplishments effectively.
📄 Declaration
The declaration section allows users to include a professional statement confirming that all provided information is true. The app provides predefined declaration formats, making it easy to add without writing manually.
🙋 About Me
The About Me section helps users describe their personality, strengths, and career goals. With predefined samples and customization options, users can create a strong and impactful introduction that gives recruiters a quick understanding of their profile.
🎓 Education
The education section allows users to add detailed academic qualifications including school or college name, degree, field of study, duration, and marks. Multiple entries can be added, ensuring a complete and well-organized academic background.
🎯 Hobbies
The hobbies section helps users showcase personal interests and activities. Users can add multiple hobbies or create custom ones, adding a personal touch to the resume and helping recruiters understand their personality better.
🌐 Language
Users can add multiple languages along with proficiency levels such as reading, writing, and speaking. This feature helps present communication skills clearly, which is important for many job roles.
💻 Projects
The projects section allows users to showcase their practical experience. Users can add details such as project title, duration, role, team size, and description. This is especially useful for students and professionals to demonstrate real-world skills.
📞 Reference
The reference section enables users to include professional contacts who can validate their skills and experience. Details like name, designation, company, email, and mobile number can be added for credibility.
🧠 Skills
The skills section helps users highlight their strengths by adding multiple skills with proficiency levels. This makes it easier for recruiters to evaluate capabilities quickly.
💼 Work Experience
The work experience section allows users to add complete job details including company name, role, duration, location, and description. Multiple entries can be added to show career growth and professional background clearly.
✍️ Signature
The app includes a built-in signature pad that allows users to draw and save their signature. This can be directly added to the resume, giving it a professional and authentic touch.
📩 Cover Letter
Users can create a cover letter along with their resume by adding recipient details, date, and content. Options are available to include profile details and signature, making job applications more complete.
👥 Multiple Profile Support
The application allows users to create and manage multiple profiles. This is useful for applying to different job roles or creating resumes for different individuals without mixing data.
📄 Final Resume Generation
During the final step, users can select which sections to include using checkbox options. This allows customization based on job requirements, ensuring a tailored and relevant resume.
👀 Preview
The preview feature allows users to review their resume before finalizing. It helps ensure proper formatting, alignment, and accuracy of content.
✏️ Edit
Users can easily edit their information anytime. This helps in correcting mistakes or updating new details without creating a new resume from scratch.
📂 Open With
The generated resume can be opened using any installed application on the device, providing quick and flexible access.
⬇️ Download
Users can download their resume in high-quality PDF format. The file is saved in the Documents/Resume Generator folder and can also be accessed easily through recent files.
🔗 Share
The resume can be shared instantly via email, messaging apps, or other platforms. This makes the job application process faster and more convenient.
🌙 Theme Support
The app includes both Dark Mode and Light Mode to provide a comfortable and flexible user experience. Dark Mode is specially designed to reduce eye strain in low-light environments, making it ideal for night-time usage or long study sessions. Light Mode offers a bright and clear interface for daytime use. Users can easily switch between themes based on their preference to ensure a smooth and enjoyable experience at any time.
🎯 Overall Experience
This application is designed to simplify resume creation with a complete set of powerful features. It provides structured input, customizable templates, and easy management tools that help users create professional resumes efficiently. With its user-friendly design, flexibility, and smooth performance, the app ensures a reliable and effective experience for students, job seekers, and professionals.
All Math Formulas app is a popular education app trusted by thousands of users. With its simple interface and fast performance, it makes your tasks easier and more efficient.